英国·威廉希尔(WilliamHill)中文官网-Official Website
学生
|
家长
|
教职工
English
首页
部门概况
现任领导
单位介绍
综合科
思教科
助学科
心康中心
新闻公告
校园快讯
最新公告
思政教育
思政教育
肇庆风采
英国威廉希尔官网
英国威廉希尔官网
心康要闻
心理园地
学生资助
政策信息
困难补助
奖学金
申办程序
勤工助学动态
学生事务
医疗保险
安全教育
合格评估
最新动态
队伍建设
下载专区
留言板
新闻公告
企业文化
企业简介
组织架构
企业文化
新闻公告
校园快讯
最新公告
您所在位置:
首页
>
首页
> 正文
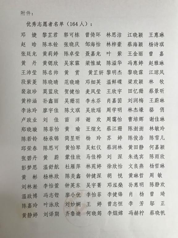
关于表彰2020年大学生疫情防控志愿者的决定
发布时间:2020年05月27日 16:09
来源:
责任编辑:学生处管理
上一篇:
williamhill英国官网第十三届“5·25”心理健康教育月系列活动之一:“疫情牵动我的心”心理手绘征集活动圆满结束
下一篇:
学生处组织召开本学期第一次辅导员大会
联系我们
广州市增城荔湖街华商路一号
版权所有:英国·威廉希尔(WilliamHill)中文官网-Official Website
电话:020-82666666
友情链接
友情友情链接
友情友情链接
友情友情链接
友情友情链接
友情友情链接
友情友情链接
友情友情链接