新闻公告

企业文化

williamhill英国官网

新闻公告

您所在位置: 首页 > 首页 > 正文

williamhill英国官网关于表彰2021-2022学年度先进班集体、优秀学生和优秀学生干部的决定

发布时间:2022年12月22日 20:23 来源: 责任编辑:学生处管理

williamhill英国官网

 

 

 

williamhill英国官网

 

 

 

 

 

 

校优秀生名单公示

01优秀生一等奖

williamhill英国官网williamhill英国官网williamhill英国官网




02优秀生二等奖

williamhill英国官网williamhill英国官网williamhill英国官网williamhill英国官网williamhill英国官网williamhill英国官网williamhill英国官网





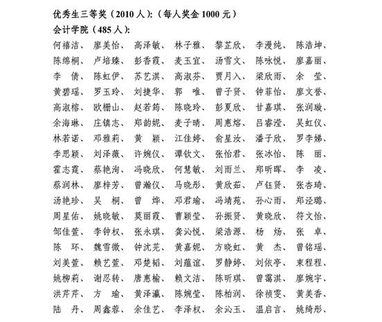
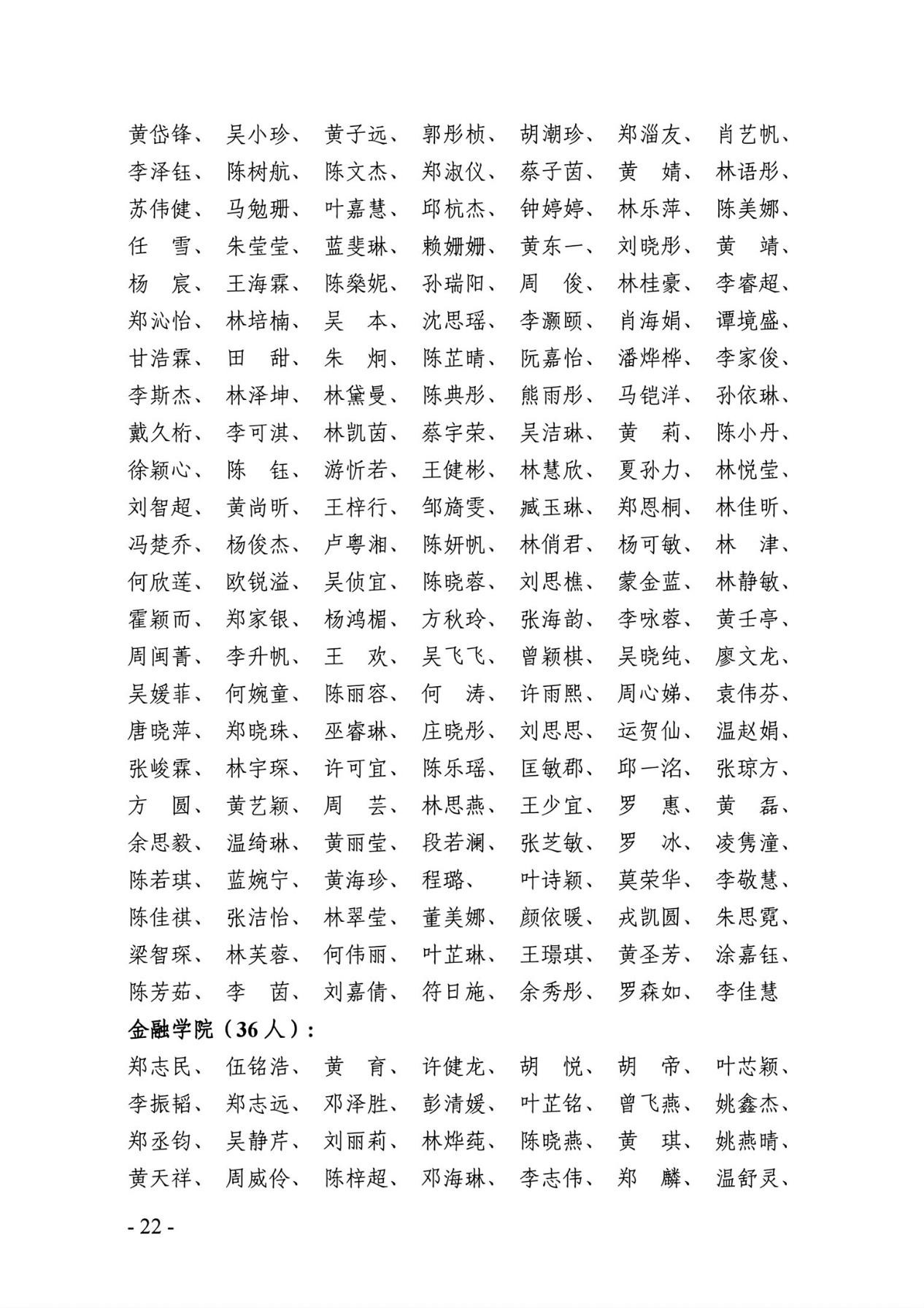
03优秀生三等奖

williamhill英国官网

williamhill英国官网williamhill英国官网williamhill英国官网williamhill英国官网williamhill英国官网williamhill英国官网williamhill英国官网williamhill英国官网williamhill英国官网williamhill英国官网


04优秀学生干部

williamhill英国官网williamhill英国官网williamhill英国官网williamhill英国官网williamhill英国官网williamhill英国官网

05先进班集体

williamhill英国官网













编辑:李宝恒


上一篇:四会校区新学期开展校园文明纪律检查
下一篇:关于2022年中青年优秀人才奖评选公示
Baidu
sogou